Problema 3
Se lanza un proyectil verticalmente hacia arriba y tarda 10 segundos en subir y regresar al punto de lanzamiento. Calcular la altura máxima que alcanza.
Se lanza un proyectil verticalmente hacia arriba y tarda 10 segundos en subir y regresar al punto de lanzamiento. Calcular la altura máxima que alcanza.
Primer paso, aparentemente el problema solo nos proporciona un solo dato, el tiempo, sin embargo, sabemos que en este tipo de movimientos cuando el objeto alcanza su altura máxima se detiene (velocidad final cero) y comienza a regresar. Otra característica de este tipo de movimiento es que los objetos tardan el mismo tiempo se subir que en bajar, por lo que el tiempo para subir solo fueron 5 segundos. Otro análisis que podemos realizar sobre este problema es que podemos dividirlo en dos partes la subida y la bajada, en cualquiera de las dos partes la gravedad, la altura y el tiempo conservan su valor, lo único que cambia es que a la subida la velocidad final es cero, pero para la bajada la variable que vale cero es la velocidad inicial. Por lo tanto se va a analizar la bajada para calcular la altura, es decir:
Segundo paso, conversión de unidades; en esta ocasión no hay necesidad de realizar conversiones:
Tercer paso, realizar los despejes; de acuerdo a los datos que tenemos (vi, g y tiempo) y que se nos pide calcular la altura, la fórmula que tiene todas estas variables es la que nombramos "Altura 1" y no se requiere ningún despeje:

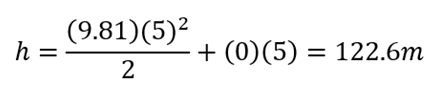
Cuarto paso, sustituir y resolver; ya tenemos los datos en las unidades correctas y la fórmula despejada, es hora de sustituir y resolver:
Obra publicada con Licencia Creative Commons Reconocimiento Compartir igual 4.0