Problema 2
Se lanza una flecha verticalmente hacia arriba con una velocidad de 40 km/h ¿que altura alcanzará?
Se lanza una flecha verticalmente hacia arriba con una velocidad de 40 km/h ¿que altura alcanzará?
Primer paso, identificar datos e incógnitas; sabemos que en este tipo de movimientos, cuando los objetos alcanzar su altura máxima en ese momento su velocidad es cero y luego comienzan a caer. Por lo tanto sabemos la velocidad inicial, la velocidad final y la gravedad:
Segundo paso, realizar las conversiones de unidades necesarias; siempre es recomendable que todas las velocidades estén dadas en m/s por lo que hay que realizar una conversión:

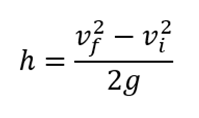
Tercer paso, identificar la fórmula y realizar los despejes; de acuerdo a los datos que se tienen la fórmula adecuada es la que se nombró como "Altura 1":

*para comprender con mayor profundidad el tema de los despejes te recomiendo analizar el Objeto de Aprendizaje "Despeje de Ecuaciones"
Cuarto paso, realizar la sustitución y las operaciones para obtener el resultado;

Obra publicada con Licencia Creative Commons Reconocimiento Compartir igual 4.0