Problema 1
De lo alto de un puente de 35 metros se deja caer una piedra ¿Cuanto tardará en llega hasta abajo?
De lo alto de un puente de 35 metros se deja caer una piedra ¿Cuanto tardará en llega hasta abajo?
Primer paso, Identificar datos e incógnitas; del enunciado del problema se observa que la velocidad inicial es cero, que nos proporcionan la altura y se tiene otro dato que no se menciona pero que ya sabemos que esta siempre presente en este tipo de movimientos, la gravedad:
Segundo paso Conversión de unidades; al analizar las unidades utilizadas en los datos se aprecia que todas son congruentes por lo tanto no se requieren conversiones de unidades:
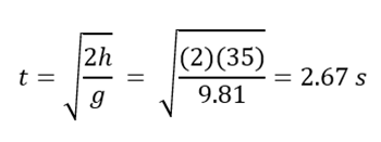
Tercer paso, establecer la fórmula y realizar despejes; para definir la fórmula debemos observar muy bien los datos y la incógnita, la única fórmula que contiene todas estas variables es la que se nombró como "Altura 2" pero es necesario realizar un despeje, para hacerlo considera que la velocidad inicial el cero y por la tanto una parte de la ecuación se elimina quedando solo:

Cuarto paso, sustituir datos y resolver operaciones; una vez que ya tenemos los datos con las unidades adecuadas y la fórmula despejada para calcular la variable que se solicita lo que sigue es sustituir los datos:

Obra publicada con Licencia Creative Commons Reconocimiento Compartir igual 4.0