Problema 2
Un hombre que viaja en bicicleta a 9 km/h acelera a razón de 1.8 m/s2 durante 4 segundos. Determina la velocidad en km/h que alcanza después de este tiempo
Un hombre que viaja en bicicleta a 9 km/h acelera a razón de 1.8 m/s2 durante 4 segundos. Determina la velocidad en km/h que alcanza después de este tiempo
Primer paso, identificar datos e incógnitas; del enunciado se identifican la velocidad y el tiempo como datos y también se observa que se pide calcular la distancia:
Segundo paso, realizar las conversiones de unidades necesarias; como ya se mencionó es recomendable cambiar a metros y segundos:

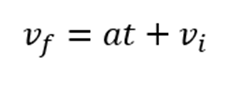
Tercer paso, identificar la fórmula y realizar los despejes; de acuerdo a los datos que se tienen la fórmula adecuada es la de aceleración pero en este caso hay necesidad de realizar un despeje para que se pueda calcular la velocidad final:

*para comprender con mayor profundidad el tema de los despejes te recomiendo analizar el Objeto de Aprendizaje "Despeje de Ecuaciones"
Cuarto paso, realizar la sustitución y las operaciones para obtener el resultado;
vf = (1.8 m/s2) (4s) + 2.5m/s = 9.7 m/s
El problema ya esta resuelto pero, el resultado se pide en Km/h por lo que hay que realizar una última conversión:
vf = 34.92 km/h
Obra publicada con Licencia Creative Commons Reconocimiento Compartir igual 4.0