Problema 1
Si un auto parte del reposo y en 7 segundos alcanza una velocidad de 80 Km/h ¿Cuál fue su aceleración?
Si un auto parte del reposo y en 7 segundos alcanza una velocidad de 80 Km/h ¿Cuál fue su aceleración?
Primer paso, Identificar datos e incógnitas; Del enunciado del problema se identifica que nos proporcionan la velocidad inicial (ya que parte del reposo), la velocidad final y el tiempo y que se pide calcular la aceleración, es decir:
Segundo paso Conversión de unidades; se recomienda ampliamente que las unidades de la aceleración siempre se manejen en m/s2, por lo tanto toda distancia tiene que estar en metros y el tiempo en segundos, por lo que la velocidad tiene que cambiarse de unidades:

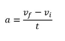
Tercer paso, establecer la fórmula y realizar despejes; para definir que fórmula debemos usar debemos tomar en cuenta los datos que ofrece el problema y lo que se desea calcular para este caso la fórmula adecuada es la de aceleración y no hay necesidad de realizar ningún despeje:

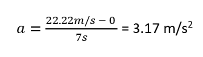
Cuarto paso, sustituir datos y resolver operaciones; una vez que ya tenemos los datos con las unidades adecuadas y la fórmula despejada para calcular la variable que se solicita lo que sigue es sustituir los datos:

Obra publicada con Licencia Creative Commons Reconocimiento Compartir igual 4.0