Problema 2
Un avión que viaja de forma horizontal a 180 km/h y que se encuentra a una altura de 250m, deja caer una caja (ver imagen), calcular:
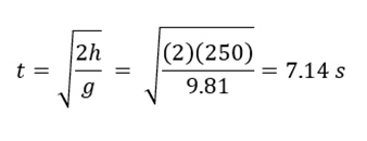
- El tiempo que tarda en caer la caja
- La velocidad con que impacta en el suelo
- la distancia horizontal desde el punto de lanzamiento hasta el punto de impacto
La física en la vida del hombre. (2013). Movimiento parabólico. Recuperado de: UD. 3: Sesión de Aprendizaje Nº 01 | La Física en la vida del hombre (talentofisico.blogspot.com)

