Problema 1
En un terreno horizontal plano, se dispara un proyectil con una velocidad de 85m/s y con un ángulo de inclinación de 40°
Movimiento parabólico. (2019). Movimiento vibra-ondulatorio-parabólico. Recuperado de: https://steemitimages.com/0x0/https://res.cloudinary.com/drrz8xekm/image/upload/v1565101945/k2znipfpbrup6hbsew2q.gif
Calcular:
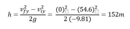
- Altura máxima
- Alcance horizontal
- Tiempo de vuelo del proyectil desde el lanzamiento hasta el impacto



