Tercer ejemplo
Se conectan 3 resistencias, R1 = 30Ω, R2 = 50Ω y R3 = 80Ω a una fuente de voltaje de 50v. Determinar la caída de tensión en R2

Se conectan 3 resistencias, R1 = 30Ω, R2 = 50Ω y R3 = 80Ω a una fuente de voltaje de 50v. Determinar la caída de tensión en R2

Para resolver este problema podemos aplicar el divisor de voltaje y evitar calcular la corriente del circuito.
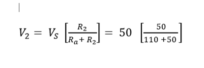
Solamente tendremos que simplificar R1 y R3 en una sola equivalente que llamaremos Ra = R1 + R3 = 30 + 80 = 110Ω. Ahora aplicaremos el divisor de voltaje entre R2 y Ra

V2 = 15.62 volts
Obra publicada con Licencia Creative Commons Reconocimiento Compartir igual 4.0