Primer ejemplo
Determina la ecuación de la recta que pasa por los puntos P1 (-3, 8) y P2 (5, -1)
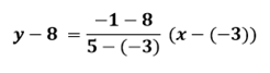
Solución: Vamos a considerar las coordenadas de P1 como x1; y1 y las coordenadas de P2 como x2; y2. Sustituimos los datos que nos brindan en la fórmula:
resolvemos y obtenemos lo siguiente: y - 8 = (-9/8) (x + 3)
Terminamos de resolver y despejamos para igualar a cero: 9x + 8y -37 = 0
Y ahora solo falta realizar la gráfica correspondiente y comprobar los resultados obteniendo un punto a partir de la ecuación y verificar que los tres puntos estén en línea recta: P1 (-3, 8); P2 (5, -1) y P3 (0, 37/8)

Fuente: Elaboración propia

