Reglas del despeje
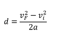
Para que una fórmula sea útil para realizar cálculos se requiere que este despejada, ¿que significa esto? se le llama así cuando la fórmula tiene de un lado del signo igual solamente la variable que se desea calcular y del otro lado todas las demás variables, por ejemplo analicemos la siguiente fórmula:

Fuente: elaboración propia
Esta fórmula esta despejada para "d" de este modo solo se necesitaría sustituir los valores y resolver las operaciones para encontrar el valor de "d". Pero si lo que se estuviera calculando es "a" entonces la fórmula no esta despejada y es necesario despejarla para "a".
Para despejar una fórmula es necesario cumplir una regla importante, no se puede hacer arbitrariamente mover variables de un lado para otro del signo igual, esta regla es que las variables que son movidas para el otro lado del signo igual deben pasar realizando la operación contraria a la que estén realizando, recordemos que la operación contraria a la suma es la resta y viceversa, la operación contraria de la multiplicación es la división y viceversa, la operación contraria de elevar al cuadrado es sacar raíz cuadrada.
