Procedimiento General
Para determinar la ecuación de una CIRCUNFERENCIA es necesario conocer las coordenadas del centro C(h,k) y la longitud del radio (r), con estos datos se aplica la fórmula general que es la siguiente:
(x - h)2 + (y - k)2 = r2 donde;
- (h, k) son las coordenadas del centro de la circunferencia
- r es la longitud del radio de la circunferencia
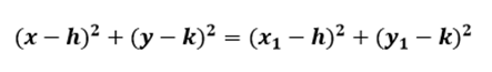
En este tema no conocemos la longitud del radio, pero conocemos un punto que pertenece a la circunferencia P1(x1,y1), por lo tanto, podemos determinar la longitud del radio con la fórmula para calcular la distancia entre dos puntos, es decir:

Por lo que si agregamos esto a la ecuación de la circunferencia nos queda de la siguiente forma:

Por lo que solo debemos sustituir los valores de h ; k que son las coordenadas del centro y de x1; y1 que son las coordenadas del punto por donde pasa la circunferencia