Primer paso
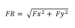
Se tiene que descomponer cada vector "F" en sus componentes rectangulares "Fx" y "Fy", para ello te puedes apoyar en una tabla como la siguiente:
|
Componente Fx = (F)(cosθ) |
Componente Fy = (F)(senθ) | |
| F1 | ||
| F2 | ||
| F3 |
Tabla de elaboración propia

