Problema 2
Un hombre que se mueve en bicicleta a 9km/h viaja durante 22 minutos, determina que distancia en metros recorrió en este tiempo
Un hombre que se mueve en bicicleta a 9km/h viaja durante 22 minutos, determina que distancia en metros recorrió en este tiempo
Primer paso, identificar datos e incógnitas; del enunciado se identifican la velocidad y el tiempo como datos y también se observa que se pide calcular la distancia:
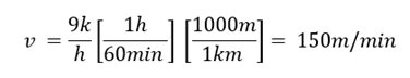
Segundo paso, realizar las conversiones de unidades necesarias; para este problema se pide que el resultado sea en metros pero la velocidad esta en km, por lo que hay que hacer una conversión. De la misma forma se observa que el tiempo en la velocidad esta en horas y el tiempo del recorrido esta expresado en minutos por lo que también hay que hacer conversiones con el tiempo:

Tercer paso, identificar la fórmula y realizar los despejes; como ya se comentó para este tema solo tenemos una fórmula, pero en este caso si es necesario realizar un despeje porque la fórmula esta despejada para velocidad pero se esta pidiendo calcular la distancia por lo que:
d = (v) (t)
*para comprender con mayor profundidad el tema de los despejes te recomiendo analizar el Objeto de Aprendizaje "Despeje de Ecuaciones"
Cuarto paso, realizar la sustitución y las operaciones para obtener el resultado;
d = (150m/min) (22min) = 3,300 m
Obra publicada con Licencia Creative Commons Reconocimiento Compartir igual 4.0