Problema 3
En una prueba de frenado un auto que viaja a 70 km/h pisa a fondo los frenos y deja una huella de patinado de 18 m. Calcular la desaceleración promedio
En una prueba de frenado un auto que viaja a 70 km/h pisa a fondo los frenos y deja una huella de patinado de 18 m. Calcular la desaceleración promedio
Primer paso, del enunciado se identifica que nos proporcionan las velocidades inicial y final, además de la distancia y que se pide calcular la aceleración:
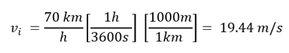
Segundo paso, conversión de unidades; tal como en los problemas anteriores se hace necesario cambiar la velocidad de km/h a m/s:

Tercer paso, realizar los despejes; de acuerdo a los datos que tenemos (vi, vf y distancia) y se nos pide calcular la aceleración, la fórmula que tiene todas estas variables es la que nombramos "Distancia 1" pero esta despejada para distancia, así que se necesita despejarla para aceleración:

*Nuevamente se te recomienda analizar el Objeto de Aprendizaje "Despeje de Ecuaciones" para que estudies los despejes.
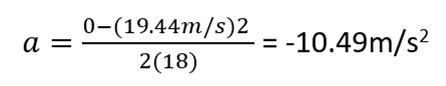
Cuarto paso, sustituir y resolver; ya tenemos los datos en las unidades correctas y la fórmula despejada, es hora de sustituir y resolver:
El signo negativo solamente indica que la velocidad esta disminuyendo, es decir, se trata de una desaceleración
Obra publicada con Licencia Creative Commons Reconocimiento Compartir igual 4.0